常见问题&知识园地
近年来,工业生产每年都有重特大事故发生。汽车制造企业发生的典型案例是2014年8月2日发生在江苏省苏州昆山市中荣金属制品有限公司的“8.2”重大爆炸事故,该企业抛光二车间发生重大铝粉尘爆炸事故,造成严重人员伤亡和经济损失。上级管理部门及企业的安全生产红线意识不强、对安全生产工作重视不够,是事故发生的重要原因。
安全生产是企业的第一要务,相关的法律法规也日趋严苛。在经济技术快速发展和社会环境变革的新形势下,对企业的职业健康安全管理提出了很多新要求,企业的相关方也越来越关注职业健康安全问题。安全重在预防,本文介绍的职业健康安全风险评价体系可以评估企业的安全风险,实现风险的量化评价,评定企业的整体安全风险等级,并在此过程中帮助企业发现安全隐患,识别与企业业务活动相关的危险源,以消除或尽可能降低企业、员工和其他相关方所面临的风险,提高企业的职业安全绩效。
职业健康安全风险评价体系
(一)评价体系的理论基础
1.国家职业健康安全相关的法律法规、部门规章制度及其标准。为了加强安全生产,预防、控制和消除职业病危害,国务院及有关部门相继颁布实施了一系列法律、法规、规则制度、规范性文件、行业性文件及相关标准,如《安全生产法》、《职业病防治法》、《国务院关于进一步加强安全生产工作的决定》、《使用有毒物品作业场所劳动保护条例》、《生产安全事故应急预案管理办法》、《工贸企业有限空间作业安全管理与监督暂行规定》、《安全生产培训管理办法》等。
2.职业健康安全管理体系要求。目前现行的国家标准GB/T 45001-2020(ISO 45001:2018,IDT)职业健康安全管理体系已在汽车行业尤其是汽车整车制造企业得到了广泛应用。标准中规定了职业健康与安全管理体系的要求,并对其使用提供指导,确保组织通过预防与工作有关的伤害和职业疾病,提供安全、健康的工作场所,主动改进组织的职业健康安全绩效。
3.机械制造企业安全生产标准化规范。机械制造行业尤其是汽车制造行业的一些安全标准或规范,如AQ/T 4227-2012《汽车制造企业职业危害防护技术规程》、AQ/T 7009-2013《机械制造企业安全生产标准化规范》、AQ 5215-2013《喷漆室材料使用安全通则》、AQ 4237-2014《焊接烟尘净化器通用技术条件》、AQ 5216-2013《涂料与辅料安全性能检测方法》等。
4.评价体系的理论基础借鉴国内汽车企业的自主安全管理规范、欧美国家风险管理与防护标准,参考了国内几家汽车集团建立的自主的安全管理规范及制度,美国职业安全健康技术法规、欧洲部分国家职业健康安全相关的法规等。
5.安全专家经验和行业惯例。研究团队由从事多年安全生产管理和从事多年职业健康安全管理体系审核等专家组成。在评价标准的编制过程中充分融入借鉴了这些专家的生产、管理、审核经验和汽车行业的惯例做法。
(二)评价体系的特点和创新点
1.具有汽车制造行业专业特色。各行业的职业健康安全风险管理有不同的关注重点,每个行业在落实职业健康安全管理要求时都有各自适用的方法和具体的要求,比如,汽车制造行业使用的设备与化工行业的设备不同,识别的安全要求也不同。本评价体系结合汽车行业的生产实际与管理方式,识别汽车制造企业的管理过程和现场生产的安全风险控制要求,提出具体评价项目和内容,体现了汽车行业的专业特色。
2.强调风险预防的理念。风险管理注重在预防,通过风险评价,能够提前识别风险并采取措施,可以实现安全管理由被动变为主动。在评价内容上,引导企业建立安全风险预测预警机制,推动企业由结果系的事后管理型向过程系的预防管理型转变。
3.为企业的职业健康安全管理提供实施指南。职业健康安全管理体系标准中提出了企业管理的方向性要求,但缺少可操作的具体要求。本评价体系提供企业如何实施职业健康安全管理,在现场作业中如何防范安全隐患等具体的安全管理的实施要求,可指导企业在操作层面的具体实施,帮助企业进一步分解落实管理体系和安全生产的要求。
4.引入对残余风险的管理方法。在识别出风险后,应对风险需采取相应的控制措施,但采取的控制措施并不一定能完全消除风险,还会剩下一些风险。本评价体系可实现对残余风险进行识别和评价,判定风险是否已达到可接受水平,以便为风险管理提供输入。
(三)评价准则的结构
本评价体系是针对汽车制造企业的整体职业健康安全管理进行的系统性风险评价。职业健康安全风险在现场方面主要体现在设施设备的管理及使用风险。
评价准则分为基础管理和现场设施设备管理两个系统,两个系统之间互相关联,但评价时可分别独立评价,其中,基础管理系统分为两个层级,第一层为管理过程,第二层进一步分解为子过程。现场设施设备管理系统分为3个层级,第一层级为设备设施类别,第二层为各专业安全管理项,第三层进一步分解为安全管理子项。评价准则的结构如图1所示。

基于管理疏忽与风险树法(MORT)的评价系统模型研究
评价系统模型的构建是基于一些安全风险相关的理论模型,考虑行业的管理特点及专家经验等综合因素。其中,基础管理系统参考的理论模型是MORT法。MORT(Management oversight and risk tree)中文译为管理疏忽与风险树。这是一种针对安全管理系统进行分析评价的方法,对企业安全管理系统的评价、管理缺陷的改进有重要作用。其主要理论思想包括变化分析理论、能量转移及屏障、安全管理系统和风险评价等。
在MORT中,安全管理系统包括管理决策、危险分析、信息收集、参与和反馈、工作流程及危险分析。组成的动态安全系统模型,如图2所示。

以研究评价体系中基础管理系统的组成过程及其之间的关系为例,根据动态安全系统模型分析企业职业健康安全风险的管理过程及其相互之间的关系。安全系统基于风险的理念,根据PDCA原则,分为4个模块,即管理决策、危险分析、工作流程及信息、参与和反馈。根据MORT分析的结果,构建了企业职业健康安全风险评价体系的基础管理系统模型,如图3所示。

管理决策是总体策划,然后进行危险分析,而分析的结果用以作为制定工作流程的输入,通过工作流程的执行得到反馈,将参与和反馈输入至管理决策,各模块之间相互关联、相互影响。管理决策模块可包括管理策划、目标管理、机构与职责等过程,危险分析模块可包括风险分析、合规管理、职业健康管理、事故事件管理等过程,工作流程及信息模块可包括文件系统、运行与控制、应急管理等过程,参与和反馈模块可包括能力意识、安全文化建设、持续改进等过程。
基于层次分析法(AHP)的评价项目赋值研究
在实现量化评价时,需确定各过程的权重,权重的设置参考了多种方法以确定权重并加以验证,其中AHP方法是主要参考的方法之一。AHP(Analytic hierarchy process)中文译为层次分析法,常用于为由相互关联、相互制约缺少定量数据的多种因素构成的系统的排序提供建模方法,体现了系统工程学定性与定量分析相结合的思想。运用层次分析法建模,包含4个步骤:建立递阶层次结构模型,构造出各层次中的所有判断矩阵,层次单排序及一致性检验,层次总排序及一致性检验。
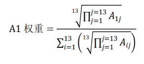
以研究基础管理的13个管理过程(A1,A2,……,A13)分值权重为例,运用层次分析法对各过程赋予分值。构建判断矩阵,将Ai和Aj逐一进行对比,Aij=1,同等重要;Aij=3,i比j略重要;Aij =5,i比j重要;Aij =7,i比j重要得多;Aij=9,i与j比极其重要。构建判断矩阵时,两两对比结果基于职业健康安全管理和安全生产管理专家的判断,对比结果如表1所示。

通过计算衡量矩阵不一致程度的指标,对判断矩阵进行一致性检验,若指标≥0.1时,说明矩阵的不一致程度不可以接受,需调整矩阵,直到不一致程度可接受为止。经过一致性检验后,使用几何平均法计算A1,A2,……,A13的权重。以A1为例,计算过程如下所示:

基于风险矩阵法的评价项目风险等级研究
现场设施设备管理系统中的评价项目以识别风险为主线,识别的风险需确定风险等级,风险等级由高到低分为A、B、C三级,参考一些风险相关的方法确定等级。风险矩阵法(Risk matrix)是用于识别风险和对其进行优先排序的结构性方法,能够对项目风险的潜在影响进行评估,定性和定量分析相结合的方法。该方法不是直接根据专家经验划分判断矩阵,而是根据风险的影响程度和发生概率共同确定风险等级。通常使用Borda序值法根据各风险的Borda值对风险进行排序。
以研究现场设施设备管理系统中各评价项目的风险等级为例,使用风险矩阵法确定每个评价项目的风险等级,将风险等级由高到低划分为A、B、C 3个等级,定义风险发生可能性的评价标准,如表2所示。

使用Borda序值法计算每个风险的Borda值。设有N个风险总数,rik表示第i个因素在第k个标准下的风险等级,则第i个风险因素的计算公式如下:

计算得出风险矩阵图如表3所示。根据每个评价项目的危害发生的严重程度和发生的概率判断其风险等级。

结语
本文介绍的评价体系是一个综合系统性的风险评价,以国家法律法规及标准为基础,融合了职业健康安全管理体系标准的要求和安全生产标准化达标准则等要求。在评价体系的研究过程中使用了多种安全管理模型、风险评估技术和风险管理工具进行分析研究,以管理疏忽与风险树法、层次分析法、风险矩阵法为例,介绍了评价体系中重要构成因素的研究。评价体系为汽车企业提供了其建立和实施职业健康安全管理的具体方法,也提供了风险评价的标准。通过实施职业健康安全风险评价,企业可以获得量化的风险感知,以便于及时发现存在的职业健康安全风险,及时采取措施控制风险,从而提高企业的职业健康安全管理绩效。
来源:文章来源于中国认证认可 ,作者于芳 杨蓉《中国认证认可》杂志 2021年第11期
北京卓越同舟咨询有限公司成立于2002年,经国家认证认可监督管理委员会批准设立的专业企业认证及咨询机构(批准号: CNCA-Z-01Q-2006-038),能为各种行业、各种规模的组织提供ISO9001 质量管理体系、IATF16949汽车生产件及相关服务件组织的质量管理体系要求、ISO14001环境管理体系、 ISO45001职业健康安全 管理体系、ISO22000/HACCP食品安全管理体系/危害分析与关键控制点ISO/IEC27001信息安全 管理体系、ISO/IEC200001T服务 管理体系、ISO22301业务连续性管理体系等管理体系认证咨询、产品认证咨询、企业资质认证咨询、企业管理咨询(组织设计、流程优化、成本审计、品控管理、顾客满意度测评、5S管理等)及相关培训服务。
关注卓越空间
关注卓越微博
关注卓越微信